联系我们
家校互动
校长信箱
校园电话
和教育客服
专题栏目
文章等级和访问规则说明
百十周年校庆专栏
和教育/短信/学生电话
效实支付二维码
0点内部商户消费说明
效实公众号二维码
班级主页发布规则
交互平板电脑管理规则
电子门锁管理制度
效实标准分T分与对比图标说明
最新图文
招生招聘
招生引导页面
中考咨询
強基计划
海航实验班
效实IB招生
教师招聘
周行事历
(2)
繁体
教工登录
学生登录
校友登录
微信扫码进入校友会
学校概况
学校简介
效实理念
领导介绍
内部机构
历任领导
办学成就
效实呦呦
效实院士
效实英烈
老效实
校园导游
党建之窗
党建首页
组织架构
党委组织史
党组织负责人
组织荣誉
党员风采
党员名单
业余党校
党史资料
学习园地
效实新闻
校园动态
时政要闻
工会之窗
教育动态
垃圾分类
效实文明网
校务公开
工作安排
通知公告
学校制度
上级文件
信息关注
学校文件
预决算公开
食堂信息
教育教学
。
师资队伍
杏坛前沿
学科建设
师训信息
选修课程
教科成果
教师论文
国际中心
中心介绍
通知公告
新闻速递
网上报名
师资团队
升学资讯
英文子站
学生服务
。
图书中心
学生服务
班级主页
效实之星
银杏学院
学生会
心灵港湾
调查问卷
25届东部01班级主页
D2501的班 徽
1班快乐日常
1班点歌台
资料共享
首页/
班级根主页
/
25届东部01班级主页
距离高考还有
135天9小时15分19秒
乌云溪生日!!
2266
首考前的班内篮球{足球}竞技
3995
脊蛙解剖-生物实验[[慎入]
3447
wsy的小卖部饮食指南!--1)
4485
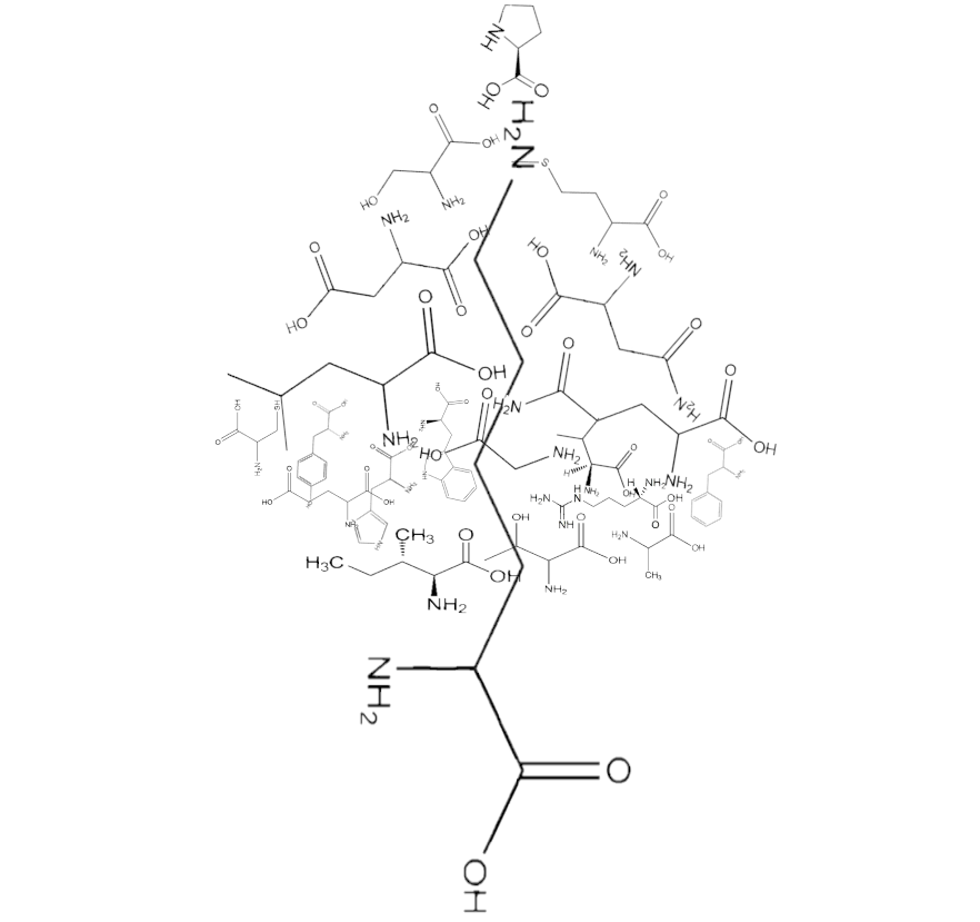
22种蛋白质氨基酸结构
3318
好运来/好日子 祝大家心想事成
2085
物理:常用天体数据
2969
转运RNA集锦(好运来!!
4019
D2501电教委员携手20种氨基酸为您送来圣诞祝福!
2566
D2501生日必备歌曲
3526
D2501.12月歌单.1.温柔系少年音
3453
圆周率之歌-来体会数学的魅力吧!
3624
11月.一模掠影
2479
2024运动会!-第二弹)
2713
1班有30条文章啦!!(特此庆祝)
3816
集体舞!(低清版ww)
2564
邓wj的相机第四弹-杂烩)
2041
邓wj的相机第三弹-高二女排
2921