D2203班级承办活动——篮球嘉年华

时间:2021.1.14 编辑:李老师 阅读量:4977 全屏 二维码链接 浏览等级:0级

一.篮球赛初印象

   为期两周的3v3篮球嘉年华终于落下帷幕。即使是12月麻木的寒风也无法阻挡每一个青春少年奔赴球馆的自信的步伐,也无法消去每一个热爱篮球、热爱运动、热爱生活的高中生的激情与期待。篮球,多么令人神往,多么令人热血飞扬,一句“我想打篮球”,多少信徒蓄势待发!

   一幕幕还在眼前,洒满球馆的金色灯光把我们的心带回盛夏,咚咚的拍球声是我们最奔腾的心跳,边线旁的观众们排排围坐,目不转睛地专注于比赛,呐喊、欢呼、鼓掌。

   在这里,无论是篮球队队员,还是篮球爱好者,无不挥洒着函数,尽情展示着不一样的自己。七彩的队服下是一张张英俊帅气的面庞,脚踏着一双双偶像的签名鞋,重现着乔丹、詹皇的神迹,诠释着曼巴精神。

   不得不提,唐老师和叶老师作为裁判,让平时喧闹杂乱的篮球场变得别具秩序感和仪式感,在此也感谢两位老师的无私付出让我们的篮球赛得以顺利进行。

   本次篮球赛的各项规则按照国际3v3篮球赛标准进行计分与计时,

两分球算1分,三分球算2分,罚球算1分。

二.IB、高三,一个都不能少

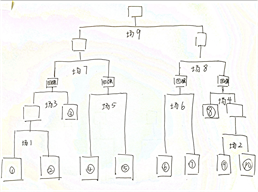
  起初我们安排了高一高二共16个班级的赛程,但是在申请阶段中却遭到质疑----“为何篮球赛没有IB”。于是我们推倒重来,重新安排赛程。每个年级10个班级的淘汰赛对于我们来说是一个棘手的问题。IB联队?车轮战?附加赛?最终我们决定以抢位赛的方式进行淘汰。    (该图为赛程手写稿)

高三的同学学业紧张,压力大,但他们队篮球赛的热情丝毫不减。于是我们在周三中午安排了一场高一高二联队vs高三联队的全场5v5篮球比赛,更长时间,更多参与感,给了高三的同学们一个放松休闲的契机。

三.你觉得最精彩的比赛是哪场?

   84D2201vsD2206的比赛着实精彩,D2201的队长张煜昆与D2206后卫谈睿泽犹如天神下凡一般,让球馆下起了一阵又一阵三分雨,呐喊声高潮迭起。D2201在一度不被看好、落后6分的情况下,凭借张煜昆的个人能力实现逆转,也使这场比赛成为当之无愧的“最精彩”No.1

   高一组比赛中,D2307的比赛也令人耳目一新,三位球员即使身高并不那么占优,但是他们依靠精妙的传球和配合,打进了一次次令人拍案叫绝的好球,也成为了高一年级的冠军。

   高二D2203IB2202的决赛也令人记忆犹新。一开始过五关斩六将的D2203IB面前仿佛哑火,一度落后三分。关键时刻,D2203的刘润衎投进“止血”三分,吹响了反击逆转的号角。同时孙海博的两计罚球稳稳命中也使比赛只差一分。最后依靠刘润衎的连续4计罚球命中,使比分到达了107D2203逆转战胜IB2202,拿下当之无愧的冠军。

                高二冠军D2203

高一冠军D2307